输入和负载瞬态响应测量反映了电源对输入电压和负载电流发生突变时的应变能力。这些测试反映了控制器如何响应负载和输入的阶跃变化,可以看出电源在保持稳压的过程中出现的输出过冲和连续振荡。通过测试电路和实例详细分析了电源的输入和负载响应。
输入和负载瞬态响应反映了电源对输入电压负载电流发生突变时的应变能力。本文提供了电源在保持稳压的过程中出现的输出过冲和连续振荡的测试结果。输入瞬态响应不同于电源抑制比(PSRR)。PSRR是直流参数,而输入瞬态响应是包含傅立叶阶跃分量的阶跃函数。负载瞬态响应类似,只是它代表的是负载电流的阶跃变化,在电源输出上注入了干扰;输入瞬态响应则是在输入端注入干扰。
输入和负载阶跃间接地在傅立叶阶跃分量上向控制器注入了激励。假设输入和负载阶跃f(t)的边沿速率达到无穷大,傅立叶级数可以表示为:

没有包含反馈的电源控制简图(图1)由控制滤波器增益、输出阻抗、输入和输出信号组成。输入和输出阶跃分别由I(LOAD)(s)和V(IN)(s)表示。

图1. 没有包含反馈的电源简化图

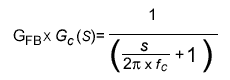
控制器的滤波器增益为G(VIN)(s),表示输入到输出的小信号增益。例如,一个没有反馈的降压型转换器具有如下输入到输出的滤波器增益:

Z(OUT)(s)是输出阻抗,在降压型转换器中,输出阻抗为:

任何输入电压或负载电流的扰动都会直接传递到输出电压,例如,一个工作于V(IN) = 12V的降压型转换器,占空比为50%,输出电压为6V,当输入端出现2V阶跃时会在输出产生1V的阶跃。图2显示了带有反馈的控制环路,这个例子中,输出稳压依靠的是对输入电压和负载电流不敏感的基准电压,V(REF)。

图2. 带有反馈的电源控制简化图
此时,输出等于:

由于引入了反馈,可以看到输入电压和负载电流的变化对输出产生的扰动降低了(1 + G(FB) x G(C)(s))倍。G(FB)是反馈增益,G(C)(s)是控制器增益。控制器增益包括电源滤波增益、误差放大器增益和其它控制环路的增益。G(FB) x G(C)(s)称为环路增益。通过向反馈回路注入信号,可以得到G(FB) x G(C)(s)的增益和相位波特图,以说明控制器的V(IN)和I(LOAD)对输出扰动的影响。需要注意的是:单位增益(G(FB) x G(C)(s) = 1)频率 fC 和对应的相移。随着相位裕度( fC 处的相移与180°的差)接近于0°,可能会对瞬态响应产生负面影响。频率高于单位增益频点时,环路增益小于1,输入和负载瞬变的衰减与没有反馈的电源系统相同。
如果环路增益在单位增益频率只有一个极点(例如,开环增益的所有其他极点和零点均离单位增益点非常远,从而影响非常小),环路增益可以表示为:

图3显示了一个单极点响应特性,其增益滚降速度为-20dB/频程,相位裕度为90°。

图3. 单极点环路增益波特图
从单极点瞬态响应可以看出,随着频率增加,环路增益下降,瞬变分量的衰减也减小。将闭环增益系数

乘以频域阶跃函数1/s,并进行拉普拉斯变换,可获得阶跃函数的时域响应。负载阶跃(得尔塔I(LOAD))作用到具有该环路增益的控制器时,将在时域产生指数响应。电压跌落为:得尔塔V = I(LOAD)(s) x Z(OUT)(s),电压将按照公式:V(FINAL) = 得尔塔V x (1 - e(-t/τ))恢复。V(FINAL)为负载阶跃前的V(OUT)直流值,经过一个时间常数τ= 1/(2πf c)后,输出电压恢复最初压降(得尔塔V)的63%。
电源输入的电压阶跃将会引起输出电压的变化,幅度为滤波器增益GV(IN)(s)乘以输入阶跃电压V(IN)(s)。结果与负载阶跃的情况相同,经过一个时间常数(τ = 1/2πx f c)后,输出电压恢复初始偏移量的63% 。
具有90°相位裕度的单极点环路在单位增益频率附近的环路增益稳定,实际上,存在多个极点时,开环增益受单位增益点附近极点的影响,相位裕度小于90°,这会引起时域的阶跃响应产生过冲,随着相位裕度接近于0°会产生振荡。如果了解开环增益在交叉点的增益为1就很容易解释这个现象。随着相位裕度减小至90°以下,闭环增益的实部变为负数。相位裕度进一步降低时,实部的负向增长比虚部更加明显。导致闭环增益的分母小于单位值,从而提升了交叉点附近的频率成份。
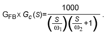
双极点开环增益的表达式能够很好地解释当相位裕度降低时阶跃响应期间的情况。例如,所设计的环路直流增益为60dB,可以观察两个实部极点在交叉点的影响,表达式为:

闭环增益为:

单位增益交叉点出现在频率欧姆1和欧姆2之间。 保持交叉点频率不变,改变欧姆1和欧姆2改变相位裕度。在MATLAB中执行"step "命令,(step(1/(1+ G(FB) x G(C)(s))手册,就可以得到不同相位裕度下的不同瞬态响应特性曲线,如图4所示。

图4. MATLAB step 命令,计算不同的相位裕度下的闭环增益
从图4可以看出,随着相位裕度的降低,控制器的频响特性中过冲和振荡都随之加剧。相位裕度接近0°时,导致完全自激。从另一方面看,随着相位裕度降至90°以下,响应时间也缩短。相位裕度在72°附近时恢复最快,过冲为0%。
为了得到电源的输入和负载阶跃响应,必需在输入电压或负载电流处产生一个相对于控制器带宽而言据够快的跃变,近似为阶跃函数。这就需要特别注意电路板的设计和元件选择。PCB引线和器件的寄生电感、寄生电阻、寄生电容会通过限制摆率来阻止快速的阶跃响应。
输入和负载阶跃的最小上升时间取决于控制器的环路带宽。对于1MHz的控制器应有小于(1/2)开关频率(即500kHz)的环路带宽。所以,测试控制器的响应特性时,为了得到全面的测试结果,阶跃上升时间必须足够快,保证至少注入 f (SW)/2的频率成份。这对应于傅立叶阶跃分量,因为瞬变波形的摆率取决于阶跃函数的最高频率分量。正弦曲线(A x sin(欧姆))的最大摆率等于微分最大值,或简单表示为(SLEW RATE(MAX) = A x 欧姆)。由此可得:最小上升时间为1/(πx f (SW))。
确定了上升时间、电压或电流阶跃后,可以估计寄生电感、寄生电阻和寄生电容对阶跃响应测试的影响。例如,假设在200ns内需要输出端产生一个10A的阶跃。如果负载和输出电容间有100nH的寄生电感,那么最快的上升时间为(不考虑负载开关产生的所有延时) 555ns。很显然,寄生电感的影响很大。另一方面,如果在同一输出端产生10A、10µs的阶跃,电感产生的影响占总上升时间的5%。
较快的输入瞬变可以通过两个低R(DS(ON))、n沟道MOSFET在两个直流电源间切换产生,如图5所示。 在A时间段,Q1导通,电源与5V相连,Q2断开电源与3V的连接。在B时间段,Q1断开电源与5V的连接,Q2将电源连接到3V。注意Q2的源极接3V,而Q1的漏极接5V 。这种连接方式可以避免MOSFET的体二极管产生不必要的导通。Q1和Q2的栅极电压(V(GS))必须高于漏-源门限电压(V(DS)),使开关完全导通。这在高压输入时可能存在问题,但对于5V或更低电压的系统,利用函数发生器或MOSFET驱动器即可提供足够的栅极驱动。例如,MAX4428 MOSFET驱动器能够提供18V的栅极驱动电压,并可源出或吸入1.5A的电流,所产生的互补输出可以驱动两个FET异相工作。
如果输入电容C(IN)不需要直接与电源相连,则可去掉C(IN),图5中的C(BP)成为电源的输入电容。这有益于增大C(IN),满足输入端快速上升的需求。
寄生电感、电阻和电容限制了电路产生低噪的阶跃函数。图5给出了产生输入阶跃时的寄生效应,为了源出或吸入大电流,必须尽可能降低PCB、MOSFET和电容的等效串联电阻。具有大电容、低电阻电路的阶跃响应为欠阻尼,使得MOSFET之间的节点处和电源输入的节点处产生电感、电容自激(谐振),如图5。虽然电感无法降至0,但是可以降到一定值,使谐振频率足够高,使瞬态上升和下降时间可以忽略。

图5. 输入瞬变(具有寄生成份)
如果输入电容(C(IN))不恰当,或者C(IN)必需直接连接到电源的输入端以满足噪声特性和布板的要求,则输入阶跃电压将会作用到C(IN)。这种情况下,为了在得尔塔t时间内产生得尔塔V的电压变化,电容C(IN)必须源出或吸入

的电流。此时,旁路电容C(BP)必须远大于C(IN),而且必须使用低R(ESR)的陶瓷电容,保证在满足C(IN)充放电所需电流的条件下,R(ESR_)上的压降最小。即使使用陶瓷旁路电容,C(IN)较大并需要大电流时,电感(L(ESL))仍然会限制快速上升时间。仅仅几个nH的电感就会限制C(IN)电压阶跃时间。例如,C(IN) = 100µF,得尔塔V = 1V,为了在1µs内产生 所要求的阶跃电压,必须有100A流过C(IN)。如果C(BP)和C(IN)之间有100nH的寄生电感,将C(IN)电压升高1V将会需要2µs的时间。此外,过大的寄生电感还会导致过冲或振荡,从而使输入瞬变不是一个干净的阶跃函数。通过并联小陶瓷电容可以降低寄生电感,多个电容的R(ESR)和L(ESL)并联后可以降低总的等效阻抗。从旁路电容到MOSFET漏极的距离也要尽量小。2mm宽、1盎司覆铜的PCB引线的寄生电阻、电感为25毫欧/cm和4.75nH/cm。必须使用短而宽的引线,以降低旁路电容至MOSFET漏极的寄生电感和电阻。
选择MOSFET时考虑的主要参数包括导通电阻(R(DS_ON))、封装尺寸和栅极电容。R(DS_ON)和PCB电阻、旁路电容的ESR同样重要。高阻值会限制流过输入电容C(IN)的电流,并且在开关电源切换时会产生较大的过冲和振荡。由于R(DS_ON)是电源充放通道的主要电阻,选择低R(DS_ON)的MOSFET非常重要。另外,我们还可以降低MOSFET的等效串联电感,包括漏-源电感和内部绑定和引线产生的电感,以降低电源的总电感。
具有低导通电阻的MOSFET通常有较高的栅极电容(C(GS))。如上所述,MAX4428等MOSFET驱动器能够驱动几个nF或更大栅极电容的MOSFET。MOSFET驱动器和栅极之间的引线必须短且宽,以降低电感和电阻,从而保证C(GS)充放电所需的大电流。在保证充放电路径的电感、电阻最小的前提下,MOSFET必须连接到电源的旁路电容,条件允许的话,也可以直接连接到电源输入端。后一种情况下,电源的旁路电容也是电源的输入电容。两种情况下,都要尽量缩短MOSFET和C(IN)之间,或MOSFET与电源输入之间的连线,以减小PCB产生的寄生电感和电阻。
在电源输出端产生负载瞬变的最好方式是用一个n沟道MOSFET作为负载(线性电阻区)。电源输出连接到MOSFET的漏极,MOSFET的源极接地,通过调整栅源电压控制负载电阻。只要V(GS)大于MOSFET门限电压V(T),并大于栅源电压V(OUT),调整V(GS)将会调整MOSFET的R(DS_ON),从而调整负载电流。为了避免在电流测量回路引入额外的电感,必须使用低电感电阻检测电流。此电感会影响输出电路的阶跃上升时间,导致漏-源电容C(DS)和引线的寄生电感L(PARA)产生振荡。此配置中,检流电阻也是负载电阻的一部分。另外,MOSFET必须直接接在测试电源的输出电容C(OUT)端。小封装MOSFET,或并联结构的MOSFET有助于进一步减小寄生电感L(PARA)。
MOSFET栅极与脉冲发生器或MOSFET驱动器之间的连线必须尽量短且宽,以降低引线电感和电阻R(G)、L(G)。图6给出了具有寄生元件的负载瞬变产生电路。

图6. 负载瞬变测试,给出了寄生参数
图7、8和9给出了用电压模式降压转换器MAX1960和MAX1960评估板(可从网站china.maximintegrated.com下载MAX1960EVKIT资料)测试得到的0至10A负载瞬态响应。在COMP引脚处引入一个高频极点,以减小交叉点以上的增益。如果极点频率过低,相位裕度会下降。图7所示开环交叉点频率为42kHz,相位裕度为2°。负载阶跃会导致电源连续振荡。随着极点频率增加,相位裕度逐渐升高。在11°时就能抑制振荡,如图8所示。如果相位裕度达到90° (图9),输出为指数特性,单极点。

图7. 开环交叉点频率为42kHz,相位裕度为2°的环路响应

图8. 11°相位裕度时的响应

图9. 相位裕度为90°时的环路响应为指数函数,单极点
用导通电阻为65毫欧的n沟道MOSFET IRLR024N产生负载瞬变。MOSFET直接放置在一个输出电容的上方,漏极和地之间的低电感检测电阻为37.5毫欧。脉冲发生器HP8112直接将栅极电压从0跃变到4V。在200ns内产生一个0到10A的理想阶跃,响应几乎没有过冲和振荡。

图10. 输入阶跃响应,电路与图9相同
图10给出了使用图9电路时所产生的输入瞬态响应,输入电压从3.3V跃变到5V。两个9毫欧 n沟道MOSFET IRF3704在3.3V和5V电源之间切换,按照图5方式连接。每个开关放置在MAX1960输入和2个并联470µF Sanyo POSCAP (6TPB470M)电容之间。400ns上升250mV模拟输入电压的阶跃。