随着现代电子技术的飞速发展,频率特性测试仪作为现代电子测量领域的一种重要工具,其设计理念也在不断地革新。频率特性测试仪是一种测试网络或者电路的频率特性的仪器,又称扫频仪;可以用来测量信号传输网络、信号放大电路及滤波电路等双端口网络的幅频特性与相频特性。由于在传统的扫频仪设计方法中,被测网络幅频特性与相频特性的获取,需要通过不同的电路模块分别进行峰值检测与相位差测量,导致其系统由多个模块构成,电路复杂且体积较大。因此本文设计了一种新的频率特性测试仪,其采用直接频率合成(DDS)芯片AD9854产生正交扫频信号,并以低功耗单片机STM32作为任务控制与数据处理的核心部件。
1.总体方案
该频率特性测试仪的设计基于零中频正交解调原理,系统的总体结构如图1所示。

图1 系统总体结构
设计采用DDS集成芯片AD9854产生正交扫频信号,该芯片内部整合了两路高速、高性能正交D/A转换器,通过数字化编程即可输出I、Q两路合成信号。将这两路信号分别通过七阶椭圆低通滤波器LBP1进行整形,然后通过放大隔直电路,获得幅度满足要求的正交信号,再对被测双端口网络进行基于正交解调原理的扫频测量。
设通过放大隔直电路后,该正交信号的同相分量u1=A1cosωt,正交分量uQ=A1sinωt。设被测网络的电压转移函数(),那么同相分量u1通过被测网络后获得的稳态响应电压:

假设模拟乘法器增益系数为K,则经过模拟乘法器后,同相分量支路的输出为:

正交分量支路的输出为:

经低通滤波器LBP2,滤掉各支路信号中的和频分量,假设低通滤波器的通带内增益为B,则滤波后同相分量与正交分量分别为:

I、Q两路信号经ADC采样后,在STM32中进行数据处理,通过计算可得相移与电压增益分别为:

设计中使乘法器增益系数、正交信号振幅的平方A1²与低通滤波LBP2通带内增益三者之积为2,可以很方便地计算出Av。针对点频输入信号,利用式(5)、(6)可以获得该频率信号通过被测网络的电压增益和相移,而针对扫频输入信号,则可以获得被测网络的幅频特性和相频特性曲线。
图1中加法电路的作用是进行电平调整,为后续的ADC数据采集提供合适的信号电压,本设计采用STM32片内ADC进行模/数转换,其电压测量范围为0.0~3.3V。I、Q两支路信号通过模拟乘法器和低通滤波后,获得信号电压的范围为﹣1.0~+1.0v,因此需经加法电路抬高其电平,使其满足采样要求。AD转换后,应用STM32对数据进行处理,并通过LCD显示幅频和相频特性。
2.硬件电路
2.1正交扫频信号产生电路
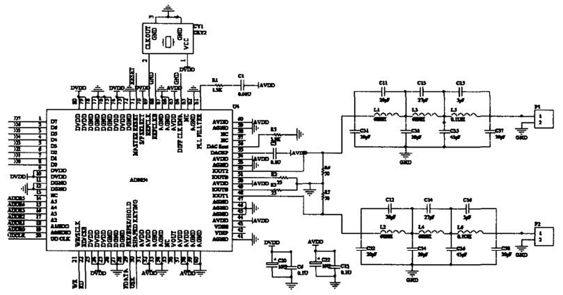
采用数字频率合成芯片AD9854产生扫频信号,该芯片在高稳定度时钟的驱动下,可产生频率、相位、幅度可编程的正、余弦信号,其允许输出的信号频率高达150MHz。笔者对AD9854外围电路的设计如图2所示。AD9854的参考时钟引脚69连接30MHz有源晶振,通过程序设置片内锁相环,对其进行10倍频,可获得300MHz的系统时钟。

图2 正交扫频信号产生电路
AD9854芯片内部带有两个高速的正交DAC,可同时输出I、Q两路正交信号,两DAC输出通过相位补偿互相影响,保持90°的相位差。AD9854的I、Q两路DAC满量程输出电流的幅度由第56引脚连接的电阻RSET控制,RSET的阻值计算公式如下:

其中,IOUT为DAC满量程输出电流的振幅,该参数需合理设置,以使正交DAC获得最佳的窄带无杂散动态范围。本设计中RSET电阻取3.9kΩ,则IOUT为10mA。图2中,I、Q两路连接输出电阻R5、R6均为50Ω,则DDS输出最大电压幅值为500mV。
I、Q两路DAC的正交信号输出端IOUT1、IOUT2需接低通滤波器,笔者设计了七阶椭圆低通滤波器,该滤波器过渡带下降迅速,其截止频率为100MHz,通带波纹则为0.05dB,阻带最小衰减为50dB。该椭圆滤波器主要用于平滑信号,同时滤除高频干扰和DDS谐波杂散信号。
2.2STM32与AD9854接口电路
采用低功耗单片机STM32F103作为任务控制核心,其与AD9854的接口电路如图3所示。STM32F103是一款基于ARM CortexTM-M3内核的32位标准RISC处理器,具有32位硬件除法器和单周期乘法器,具有强大的数据处理和运算能力,满足本设计中关于数据处理部分的要求。且其I/O端口丰富,还具有3个12位的ADC,便于数据采集。同时该芯片采用3.3V单电源供电,可直接对AD9854的引脚进行读/写操作,无需额外的电平转换电路,简化了硬件设计。

图3 STM32与AD9854的硬件连接
STM32F103与AD9854之间采用并行通信方式,AD9854的八位双向并行编程数据输入端口D[7:0]与STM32F103的PC口低8位相接,AD9854的六位并行地址总线输入引脚A[5:0]与STM32F103的PC[13:8]相接。AD9854内部设有40个8位寄存器,地址范围为00H~27H,用于存储控制字与状态字。通过向这些内部寄存器写人数据,可以实现对AD9854的工作控制,包括工作模式、输出信号频率、相位及幅度等。AD9854的控制字可通过STM32设定寄存器地址A[5:0]和数值D[7:0],在WR信号的下降沿和上升沿写入。
2.3模拟乘法器电路
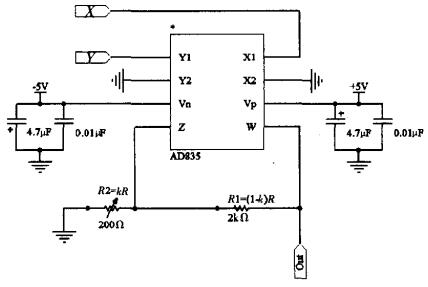
乘法电路设计采用高速模拟乘法器AD835,它是一款完备的四象限电压输出模拟乘法器,3dB带宽达到250MHz,且乘积噪声低,其外围电路设计如图4所示。AD835的输入电压范围为﹣1.0~+1.0V,具有两个差分输入端,分别为X1、X2和Y1、Y2,设计中将差分输入的一端接地,另一端接乘法信号。该芯片将X、Y两个输入信号相乘后与Z引脚输入电压相加,再经放大电路,由W引脚输出。为保证AD835乘法器的乘性系数K=1,R1、R2的接法如图4所示。调整R2,使R1/R2=20,此时乘法器的输出W=XY+Z,将Z端接地,只进行乘法运算,则最终输出W=XY。设计中为了保证输入AD835的信号X、Y满足幅值要求并且不包含直流分量,在低通滤波器LBP1后,增加一级由超高速运放AD8009构成的同相比例放大器,并采用隔直电容去除信号中的直流分量。

图4 模拟乘法器外围电路
2.4二阶有源低通滤波器
低通滤波器LBP2采用二阶有源低通滤波器,该滤波器的作用是滤掉正交调制过程中产生的频率为2ω的信号分量。设扫频时间为Ts,共扫描N个频点,则扫描每个频点的时间为Ts/N,选取4倍时间常数,低通滤波器的截止频率fo=4N/Ts,本设计中扫频时间Ts取2s,频点数最大取500,计算得fc为1kHz。为保证余量,设计中选取截止频率fc=2kHz。笔者采用精密运算放大器0P27设计二阶Butterworth低通滤波器,电路的拓扑结构采用Sallen-Key结构,且电压增益为2。
3.软件部分
系统的软件部分主要包括系统主程序、键盘扫描子程序、AD9854控制子程序、模/数转换子程序及液晶显示子程序等。主程序首先进行系统初始化,配置STM32的GPIO端口,初始化LCD、AD9854和片内ADC,然后等待按键输入,进行测量模式选择。模/数转换子程序对片内ADC进行配置,并实现点频、扫频测量数据采集存储和多次采样确认。液晶显示子程序完成幅频、相频特性的显示、清屏及字符显示等功能。AD9854控制子程序完成DDS芯片工作模式选择、正交扫频信号频率设置及扫频信号振幅设置等功能。软件主程序流程如图5所示。

图5 主程序流程
限于篇幅,只列出关于AD9854工作模式设置和正交信号幅度、频率设置的部分程序代码:
//设置AD9854工作模式选择为single—tone,对参考时钟进行10倍频,由PIN20引脚外部刷新频率
unsigned cha rmodel[4]={0x00,0x4A,0x00,0x60};
//默认初始频率1MHz,频率字FW根据公式fOUT=(fSYSCLK×FW)/2N计算得出
unsigned char freq[6]={0x00,0xDA,0x74,0x0D,0xA7,0x41};//信号频率控制字
unsigned char signalAM1[2]={0xFf,0Xff};//信号幅度控制字
unsigned char signalAM2[2]={0XFf,0Xff};//信号幅度控制字
AD9854一Reset();
AD9854一SetSpecialWord(mode1);//设置AD9854的工作模式
AD9854一SetOutkeyI(signalAM1);//设置1支路信号振幅
AD9854一SetOutkeyQ(signalAM2);//设置Q支路信号振幅
AD9854一SetFreql(freq);//设置正交信号频率
AD9854一IOUpdate();//频率刷新
其中调用的部分子程序如下:

结束语
本文总结了采用AD9854与STM32设计的频率特性测试仪,该测试仪可以进行点频测量和1~50MHz的扫频测量,可以手动预置测频范围和步进频率,并在320×240彩色液晶屏上显示幅频特性和相频特性曲线。系统界面友好,工作稳定。本设计基本实现了数字化,并满足低功耗的要求。由于扫频测量法是一种稳态测量方法,它需要等到被测网络输出达到稳态后才能测量。因此本设计中并没有设置太快的扫频测量速度,并且在STM32发送频率控制字与获取ADC采样转换值之间进行了适当的延时。否则如果被测网络响应建立时间长,而扫频测量速度太快,会形成建立误差,使测得的特性曲线畸变失真。